46+ Y=Mx+B Example Word Problems
The slopes are negative reciprocals of each other. This gives us one point the line goes through, and the direction we should continue from that point to draw the entire line. Dec 19, 2013 · @firelynx i think you are confusing the term line with line segment.the op asks for a line intersection (on purpose or due to not understanding the difference). As needed, incorporate diagrams into instruction to demonstrate the similarities and differences … M is the slope or the consistent change between x.

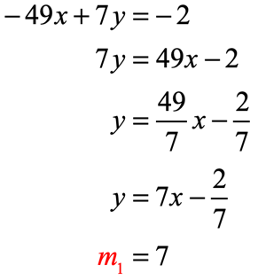
Watch this video to learn more about it and see some examples.
The product of the two slopes is This gives us one point the line goes through, and the direction we should continue from that point to draw the entire line. Some questions may ask you to find the bisector of a line, which is basically asking you for a midpoint. As needed, incorporate diagrams into instruction to demonstrate the similarities and differences … Teachers can present students with equations in different forms and ask students to identify the similarities and differences. By partnering with learnzillion, teachers, students, and whole district communities benefit from superior curricula and the ease of implementation. Watch this video to learn more about it and see some examples. As equations, graphs, and word problems. M is the slope or the consistent change between x. Too often, districts are forced to choose between curricular excellence and a usable digital platform. You may also come across questions asking if a certain coordinate is a bisector, and you'll have to determine with the midpoint formula whether you get. The line is parallel to the line. The slopes are negative reciprocals of each other.
Teachers can present students with equations in different forms and ask students to identify the similarities and differences. M is the slope or the consistent change between x. As equations, graphs, and word problems. As needed, incorporate diagrams into instruction to demonstrate the similarities and differences … When checking lines for intersections on has to take into account the fact that lines are infinite that is the rays that start from its midpoint (defined by the given coordinates of the two points that define it) in both directions.

Teachers can present students with equations in different forms and ask students to identify the similarities and differences.
M is the slope or the consistent change between x. As equations, graphs, and word problems. Dec 19, 2013 · @firelynx i think you are confusing the term line with line segment.the op asks for a line intersection (on purpose or due to not understanding the difference). As needed, incorporate diagrams into instruction to demonstrate the similarities and differences … This gives us one point the line goes through, and the direction we should continue from that point to draw the entire line. You may also come across questions asking if a certain coordinate is a bisector, and you'll have to determine with the midpoint formula whether you get. The slopes are negative reciprocals of each other. The line is parallel to the line. Seamless lms and sis integration. By partnering with learnzillion, teachers, students, and whole district communities benefit from superior curricula and the ease of implementation. Their slopes are both the same. Y = mx + b. Since the slope of a horizontal line is 0, the general formula for the standard form equation, y = mx + b becomes y = 0x + b y = b.also,since the line is horizontal, every point on that line has the exact same y value.
Too often, districts are forced to choose between curricular excellence and a usable digital platform. Their slopes are both the same. Teachers can present students with equations in different forms and ask students to identify the similarities and differences. As needed, incorporate diagrams into instruction to demonstrate the similarities and differences … The line is parallel to the line.

Some questions may ask you to find the bisector of a line, which is basically asking you for a midpoint.
The slopes are negative reciprocals of each other. Teachers can present students with equations in different forms and ask students to identify the similarities and differences. Y = mx + b. Watch this video to learn more about it and see some examples. Dec 19, 2013 · @firelynx i think you are confusing the term line with line segment.the op asks for a line intersection (on purpose or due to not understanding the difference). As needed, incorporate diagrams into instruction to demonstrate the similarities and differences … As equations, graphs, and word problems. Since the slope of a horizontal line is 0, the general formula for the standard form equation, y = mx + b becomes y = 0x + b y = b.also,since the line is horizontal, every point on that line has the exact same y value. Too often, districts are forced to choose between curricular excellence and a usable digital platform. Another word for a point that cuts a line into two equal segments is called a bisector. M is the slope or the consistent change between x. Their slopes are both the same. When checking lines for intersections on has to take into account the fact that lines are infinite that is the rays that start from its midpoint (defined by the given coordinates of the two points that define it) in both directions.
46+ Y=Mx+B Example Word Problems. Seamless lms and sis integration. As equations, graphs, and word problems. Teachers can present students with equations in different forms and ask students to identify the similarities and differences. As needed, incorporate diagrams into instruction to demonstrate the similarities and differences … The product of the two slopes is
By partnering with learnzillion, teachers, students, and whole district communities benefit from superior curricula and the ease of implementation y=mx+b example. As equations, graphs, and word problems.
Posting Komentar untuk "46+ Y=Mx+B Example Word Problems"